На главную страницу сайта
· Наш магазин · Объявления · Рейтинг · Статьи · Частоты · Копилка · Аэродромы · Live!
· Файлы · Диапазоны · Сигналы · Музей · Mods · LPD-форум · Клуб · Радиостанции
На сайте: гостей - 56,
участников - 6 [ ilya82, Ruiz_Av, Хайо, seregamaxonin, Voevoda, Axcel]
 · Начало · Опросы · События · Статистика · Поиск · Регистрация · Правила · FAQ · Галерея ·
 Форум —› Прочее —› Родственное хобби - любительская радиоастрономия 
Си-Би радиостанции в нашем магазине: Alan и Midland, Alinco, Intek, MegaJet, President, Yosan, Беркут, Таис


Alan 48 Excel
руб.

Alinco DR-135CBA New
руб.

MegaJet MJ-3031M Turbo
руб.

President Harry III ASC
руб.

Yosan Stealth 5
руб.
 Страница:  ««  1  2  3  4  »»Поиск в теме
Автор Сообщение
NBFM
Участник
Offline3.4
с ноя 2005
Москва
Сообщений: 3348

Дата: 06 Мар 2007 02:09:12 #  

Стас
эффект будет. только усилитель- не ламповый. а на ASGa транзисторах. часто применяются подобные "лунатиками" и "сатовцами" радиолюбителями.
стоят дорого. хорошие и малошумящие- очень дорого.

про жидкий азот и прочее, в любительских условиях, конечно, можно забыть-)

DVE
на счет антенн стоит покурить к примеру тут и в основном тут
смотрите в направлении "лунатиков"
кстати, может кто-то из них, обладающий хорошими, стационарными антенными системами на 144 и 432 МГц возможно заинтересуется этой темой. стоит им написать, возможно?
"лунатики" в основном тусуются [url=www.vhfdx.ru]тут[/url]

бог в помощь!
доложите нам потом, о ваших результатах. любопытно.
DVE
Участник
Offline3.8
с ноя 2006
EU
Сообщений: 5098

Дата: 06 Мар 2007 11:20:51 #  

NBFM
Спасибо, посмотрю.

Сложность в том, что не имея никакой измерительной аппаратуры (или хотя бы тестового источника сигнала), хорошие антенны сделать действительно не просто. А сколько стоит антенный анализатор на 1ГГц и выше, сложно даже представить :)
AlexYL2
Участник
Offline5.0
с янв 2007
Рига & Даугавпилс
Сообщений: 620

Дата: 06 Мар 2007 13:27:34 · Поправил: AlexYL2 (06 Мар 2007 13:28:32) #  

К сожалению сейчас у меня есть некоторые проблемы с нетом, так что мои ответы могут быть не совсем своевременны. В прочем эту проблему я постараюсь в скорости решить.

DVE

Итак, Юпитер.
Если я не ошибаюсь, впервые радиоизлучение этой планеты впервые наблюдалось примерно в 1954 году, причем обнаружили его совершенно случайно, когда испытывали новую фазированную решетку, то случайно засекли непонятные всплески. Позже их смогли отождествить с излучением этой планеты. Кстати антенна была настроена на волне 23 м. После чего это открытие забыли на некоторое время. Последующие исследования выявили спорадический характер излучения. Вообще, как я писал выше, Юпитер это самый мощный источник радиоизлучения в Солнечной системе (конечно, после Солнца ) в этом диапазоне (10-27 МГц, а фактически 17-27 МГц). Вообще же плотность потока составляет примерно 10^5-10^6 Янских (относительно радиоисточников это огромное число, например мощная радиогалактика Дева А имеет плотность всего 930 Янских (что равно 930*10^-26 Вт/Гц*м^2) а ведь она одна из самых мощных радиоисточников!, вообще самые мощные радиотелескопы имеют чувствительность порядка 10 микроянских, а средняя чувствительность для радиотелескопа порядка 50 миллиянских ). Спорадические всплески относительно коротки, их длительность составляет примерно 0,1-1 сек. хотя реже могут быть зафиксированы и более длительные – до 10 сек. но это редко (а вот всплески, длительностью 2-5 сек. появляются часто). Вообще же максимум плотности отдельного всплеска находиться в районе 18-20 МГц и может быть ниже, но из-за нашей любимой ионосферы ниже принимать тяжелей. Эти всплески сильно поляризованы. Поляризация обычно круговая, степень поляризации иногда достигает 100% .Типичная яркостная температура во время всплесков может составлять 10^14 Кельвинов (эта температура радиоисточника, естественно к физической температуре это число не имеет отношения, вообще радиоастрономам свойственно пытаться все выразить через температуру). Если говорить про отдельный всплеск, то он как правило достаточно узкополосный, обычно ширина составляет не более 2 МГц, правда иногда бывает более узкополосным – доходит даже до ~600-700 кГц. На слух эти всплески воспринимаются как такое размеренное чириканье, бывают моменты, когда интенсивность падает и вообще ничего не слышно, бывает наоборот когда они как бы разгораются. В целом, все это дело можно принять на обычный нормальный приемник, включив режим сканирования без остановок с открытым шумодавом в диапазоне 21-27 МГц, конечно вооружившись хорошей антенной, например Уда-Яги с несколькими элементами.
Вообще же я считаю что прием радиоизлучения Юпитера это наверно самое интересное занятие из радиоастрономии(для любителя), т.к это относительно просто, не надо сложной аппаратуры; во вторых это излучение динамично в отличии от других – представьте, если вы даже построили свой телескоп, направили скажем в тот же Кассиопей А или на любой другой объект в нашей Галактике (например зоны НII) – что Вы примете? Обычный шум, не отличающийся от шума приемника с выдернутой антенной (правда, счас я не говорю об пульсарах), а стоит ли платить килобаксы за это? Ну пусть его плотность будет какой то, всеравно маленькой, а что дальше. Без спец аппаратуры с этим шумом ничего не сделать. Нужны приборы «неимоверной» сложности(что займет не оду стойку) чтоб разобрать этот сигнал, выявить поляризацию если она есть, произвести еще тысяча и одно действие... Ладно, пора завязывать.

ЗЫ. возможно, некоторые цифры не совсем точны, т.к. я писал по памяти, но идея, как мне представляется, есть.

ЗЫЗЫ. Вообще, лично я считаю, что радиоастрономия одна из величайших наук; например всего лишь по одному шуму можно узнать о какой либо удаленной галактике (которая даже в оптике не видна) почти все, или по тому же шуму узнать форму! межзвездной пыли и даже ее внутренний состав. Таких примеров масса.

Про излучение Солнца пару слов …в следующий раз.
Che Guevara
Участник
Offline1.5
с мая 2006
Сообщений: 55

Дата: 07 Мар 2007 18:29:40 #  

AlexYL2
Спасибо.
Очень интересно.
Читал с удовольствием.
AlexYL2
Участник
Offline5.0
с янв 2007
Рига & Даугавпилс
Сообщений: 620

Дата: 08 Мар 2007 16:21:15 #  

Che Guevara
Да не за что.

DVE
Ну что скажите, не передумали по поводу 21 см?

Вообще, если что, я могу дополнить/добавить по смежным темам.
DVE
Участник
Offline3.8
с ноя 2006
EU
Сообщений: 5098

Дата: 08 Мар 2007 17:15:27 #  

AlexYL2
По поводу 21см - естественно о расшифровке сигналов речи не идет, построить для начала карту интенсивности излучений по небу уже было бы интересно (понятно что из-за диаграммы направленности точность будет малой).

Насчет КВ, пока негде направленные антенны ставить, но в перспективе про Юпитер тоже подумаю :)

Про Солнце тоже интересно было бы послушать.
AlexYL2
Участник
Offline5.0
с янв 2007
Рига & Даугавпилс
Сообщений: 620

Дата: 08 Мар 2007 17:29:38 #  

DVE
Почемуто мне кажется, что антенна для Юпитера получится меньше, чем парабола на 21 см.
Т.к. для того чтоб хоть что-то принять надо эффективную аппертуру, скажем в диаметре ну уж не меньше 4 метров, и то с такой антенной Вы только сможете зафиксировать самые мощные источники.

Для меня сегодня рабочий день уже заканчивается, пойду домой, "нет уж больше сил моих", так что про Солнце я напишу завтра.
AlexYL2
Участник
Offline5.0
с янв 2007
Рига & Даугавпилс
Сообщений: 620

Дата: 09 Мар 2007 10:08:55 · Поправил: AlexYL2 (09 Мар 2007 10:11:28) #  

Итак, пару слов про Солнце.
Прежде чем начать, хочу отметить, что без некоторого количества формул и математики здесь не обойтись, поскольку излучение Солнца, оно гораздо сложней в отличии от выше упомянутого Юпитера.

Немного истории, на сколько я ее помню.
В целом надо отдать должное локаторам, именно они реально впервые зафиксировали излучение. А самая первая попытка была предпринята в 1900! (+/-), но тогда ничего не обнаружили из-за очень слабой чувствительности, позже неоднократно принимались попытки принять излучение на абсолютно разных частотах, но ничего не выходило, опять же из-за слабой чувствительности. А обнаружили случайно. Примерно в 1940 году целая группа локаторов в Англии вышла из строя из-за сильной импульсной помехи, сначала подумали, что во всем виноваты немцы. Но потом выявили корреляцию между помехами и пятнами на Солнце. Кстати в свое время Ребер, про которого я уже говорил, так же обнаружил излучение Солнца примерно на 130 МГц.

Само излучение Солнца имеет несколько типов.
В начале я перечислю эти типы, а потом про них напишу подробней.
1. Спокойное Солнце – механизм излучения чисто тепловой тормозной; длительность излучения - постоянная или 11 летний период; ширина полосы – континуум; поляризация всегда случайная; температура 10^5-10^6 Кельвинов(заметьте, как у Юпитера, все остальные типы будут на несколько порядков выше).

2. Медленно меняющаяся компонента. Имеет длительность несколько дней или даже доходит до месяца, но это редко. Хорошо заметна в диапазоне от 5 до 50 см. Ширина полосы – так же континуум; поляризация тоже случайная, правда некоторые говорят что на сантиметровых волнах поляризация круговая. механизм излучения как и в первом случае тепловой тормозной плюс добавляется циклотронный; температура более 10^6.

3. Быстро меняющаяся компонента (как правело, после вспышки).
Первая фаза
Тип III. длительность – единицы секунд(впрочем, очень редко до десятка сек), ширина полосы не достигает 5 МГц ( редко, превышает немного 5 МГц), а вот скорость дрейфа иногда достигает 20 МГц*сек^-1. Поляризация случайная, но механизм излучения здесь иной – плазменный, температура может быть больше 10^11, именно это излучение и шумовая буря и испортили Английские локаторы, так что берегите портативки!

Тип V. длительность – минуты. Ширина полосы – континуум; поляризация обычно случайна, механизм излучения плазменный, температура так же 10^6.

Вторая фаза.
Тип II. Длительность – минуты, ширина полосы – до 50 МГц, скорость дрейфа 20 МГц*сек^-1, поляризация опять же случайна, механизм излучения – плазменный, температура достигает 10^10, реже немногим выше.

Тип IV. длительность – до нескольких часов, ширина полосы – континуум(что очень хорошо ионизирует ионосферу), поляризация случайна; механизм излучения, точно не помню, вероятно синхротронный и плазменный, температура достигает 10^11 К; на сколько я понимаю, именно этот тип создает прохождение на УКВ.

4.Шумовая буря
Тип I. Длительность обычно доли секунд, очень редко до единицы секунды, ширина полосы несколько мегагерц, излучение сильно поляризовано, механизм излучения магнитотормозной, температура до 10^9 К;

5.Повышенное излучение (связанное с пятнами на Солнце). Длительность достигает часов и даже дней, ширина полосы – континуум, излучение сильно поляризовано, механизм излучения забыл, скорей всего магнитотормозной или плазменный, температура 10^9 К;

Как видно из того, что я написал, основной механизм радиоизлучения спокойного Солнца это чисто тормозное излучение, причем полностью ионизированного газа преимущественно солнечной короны и хромосферы (этим и объясняются наблюдения на волне 21 см, которые не связанны с излучением нейтрального водорода, хотя была составлена радиокарта на этой волне и обнаружена корреляция с будущим появлением пятен). Вообще излучение фотосферы недоступно для наблюдения в радиодиапазоне из-за сильного поглощения в хромосфере. Правда, лишь в субмиллиметровой области, при длине волны порядка 150-100 мкм хромосфера становится прозрачной. Что касается короны, то ее радиоизлучение, для упрощения можно представить в простейшем варианте в виде двухслойной модели, это основано на уравнении переноса, которое в свою очередь приводится к виду исходя из формулы Рэлея-Джинса, так вот в этой модели яркостная температура источника в направлении видимого центра диска Солнца складывается из температуры хромосферы (радиотемпературы, оно здесь рассматривается как исключительно фоновое излучение ) и из ослабленного короной излучения хромосферы и из излучения короны, с учетом естественного самопоглощения. Вот как это выглядит Tb=Tкор(1-exp(-кор))+Tхром exp(-кор) (опять же из уравнения переноса), после некоторых преобразований можно получить упрощенную формулу для коротких волн Tb=Tкоркор +Tхром ; на волнах, где Солнечная корона практически прозрачна(а это когда 1> кор ), наблюдается плавное и не очень интенсивное потемнение, если двигаться к центру, с другой стороны в оптическом диапазоне картина противоположная, там наоборот наблюдается поярчение к центру. Однако формула не учитывает, что если взять длину волны больше 1-1.5 м, где оптическая глубина короны больше единицы (кор > 1) все излучение определяется только короной.
Существуют также и т.н. корональные конденсации. Наверно все слышали, что интенсивность радиоизлучения Солнца меняется, так вот это связанно именно с этим. В течении всего цикла активности наблюдается изменение плотности потока примерно в два раза, этот поток состоит из постоянной составляющей (происхождение ее – чисто тепловое излучение короны и хромосферы – как я писал десять сточек выше) и переменной составляющей, оно образуется благодаря уплотнениям над группами солнечных пятен, что и называется корональными конденсациями. Корональные конденсации удерживаются петлями магнитного поля, которые в свою очередь удерживают плазму.

Ладно, на сегодня наверно хватит.
Завтра дополню про спорадическое излучение, шумовые бури и всевозможные всплески и их распространение.
AlexYL2
Участник
Offline5.0
с янв 2007
Рига & Даугавпилс
Сообщений: 620

Дата: 09 Мар 2007 10:23:53 #  

Эх, что-то единственная формула не отобразилась, там где квадратик это [тау] корональное - оптическая глубина короны. Все температуры с подстрочными индексами.
DVE
Участник
Offline3.8
с ноя 2006
EU
Сообщений: 5098

Дата: 09 Мар 2007 10:54:26 · Поправил: DVE (09 Мар 2007 10:54:51) #  

Спасибо, интересно. Вам бы книги научно-популярные писать :)
Глупый вопрос - а как температуру излучения перевести в длину волны?

По поводу параболы - я хотел пока ограничиться спиральной антенной, она гораздо легче делается в домашних условиях (+ имеет большую ветровую устойчивость и менее заметна), а увеличивая число витков можно поднимать и усиление.
NBFM
Участник
Offline3.4
с ноя 2005
Москва
Сообщений: 3348

Дата: 09 Мар 2007 13:40:53 #  

AlexYL2
спасибо за интересный рассказ. про книжки писать- советую подумать!) хорошо получается.

формулы наверное лучше в виде картинок вставлять. написал в граф редакторе и вставил. так удобнее и надежнее.
AlexYL2
Участник
Offline5.0
с янв 2007
Рига & Даугавпилс
Сообщений: 620

Дата: 09 Мар 2007 17:07:59 #  

Глупый вопрос - а как температуру излучения перевести в длину волны?

Ну почему же глупый, нормальный вопрос.
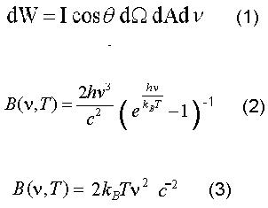
Вот только температура и длинна волны это разные вещи, температура характеризует плотность потока и имеет смысл только если источник протяженный (т.е. угловой размер источника больше угла раскрыва ДН антенны или с известным телесным углом (дифференциал от омега), но если же ситуация обратна, и источник точечный (т.е. не разрешается по телесному углу данной антенной) то можно лишь найти определенный интеграл от интенсивности точечного источника, естественно по телесному углу ). Но вернемся к протяженному источнику, для него можно измерить непосредственную интенсивность излучения I (по определению она характеризует кол-во энергии падающей на определенную поверхность в определенное время с определенного телесного угла в определенном интервале частот), обычно поток энергии обозначают через dW, под углом тэта на площадку dА с телесного угла d омега в полосе d эпсилон (формула 1). Нетрудно заметить, что коэффициент I представляет коэффициент пропорциональности, и его обычно называют интенсивностью. Но этим коэффициентом не совсем удобно оперировать, и его очень часто заменяют яркостную температуру. Это легко представить, если предположить что источник излучает как совершенно черное тело с определенной температурой Т, в таком случае спектральное распределение интенсивности можно описать функцией Планка при допущении что энергия кванта в радио диапазоне очень мала (формула 2), где h – есть постоянная Планка, k с индексом b – постоянная Больцмана.



Для упрощения расчетов можно воспользоваться приближением Релея-Джинса, про которое я упоминал выше (формула 3). Эта формула удобна для определения яркостной температуры из наблюдаемой интенсивности радиоизлучения. В некоторых случаях яркостная температура представляет собой чисто формальную величину, обозначающую просто меру для интенсивности излучения.

По поводу спиральных антенн – если не ошибаюсь, в обсерватории Нэнси в 1964 году построили 90 метровую ФАР, состоящую из спиральных антенн для исследования нашей Галактики, так вот у них ничего не получилось из-за плохой ДН (она имела сильно выраженную «ножевую направленность») и к тому же обладала сильно большой шумовой температурой (порядка 250 Кельвинов), но это так, к сведенью. Хотя я бы посоветовал все-таки сделать параболу.
DVE
Участник
Offline3.8
с ноя 2006
EU
Сообщений: 5098

Дата: 09 Мар 2007 17:32:24 #  

AlexYL2
Т.е. правильно ли я понял, что фраза "температура излучения равна..." характеризует именно интенсивность этого излучения, но не частоту? (т.е. прямой зависимости нет, есть косвенная и нелинейная).

Параболическую антенну сделать вряд ли удастся, хранить негде да и устройство для её вращения получилось бы слишком громоздким.
AlexYL2
Участник
Offline5.0
с янв 2007
Рига & Даугавпилс
Сообщений: 620

Дата: 09 Мар 2007 17:37:32 #  

Безусловно.
вторая строчка:
температура характеризует плотность потока
feri
Участник
Offline3.6
с апр 2005
Страсбург ФРАНЦИЯ
Сообщений: 2637

Дата: 09 Мар 2007 19:33:28 #  

Может кто подскажет конкретную ссылку в интернете на онлайн телескоп, я имею ввиду удаленный доступ в реальном времени. Через поисковики пока ничего не нашел.
AlexYL2
Участник
Offline5.0
с янв 2007
Рига & Даугавпилс
Сообщений: 620

Дата: 12 Мар 2007 17:55:58 #  

Ну, что, мне продолжать? Или не стоит.
На сколько я понимаю особого интереса это не вызывает.

feri

Ссылки я выложу завтра, но их в любом случае мало, т. к. обычно телескопы арендуются какой-либо организацией, занимающиеся своими исследованиями.
Valery
Участник
Offline3.1
с мар 2003
Россия
Сообщений: 5821

Дата: 12 Мар 2007 19:33:29 #  

AlexYL2
Ну, что, мне продолжать? Или не стоит

Все интересно.
Но большие посты на этом сайте читаются с трудом.
DVE
Участник
Offline3.8
с ноя 2006
EU
Сообщений: 5098

Дата: 12 Мар 2007 23:49:37 #  

feri
> Может кто подскажет конкретную ссылку в интернете на онлайн телескоп, я имею ввиду удаленный доступ в реальном времени

На Астрофоруме вроде была ссылка на такой сервис, но он естественно платный, запомнилась сумма что-то типа 100$ в месяц.
Если просто посмотреть - вроде даже у нашего БТА web камеры на офсайте доступны.

AlexYL2
Продолжайте, интересно :)

2 All:
Кто-нибудь может помочь с расчетом параметров спиральной антенны для 1420 МГц? Нашел в Инете две статьи и одну программу для расчета, но для всех трех результаты получаются разные...
AlexYL2
Участник
Offline5.0
с янв 2007
Рига & Даугавпилс
Сообщений: 620

Дата: 17 Мар 2007 15:23:30 #  

DVE

Продолжайте, интересно или интересно :) ?

Хорошо, чуть позже дополню.
AlexYL2
Участник
Offline5.0
с янв 2007
Рига & Даугавпилс
Сообщений: 620

Дата: 17 Мар 2007 15:26:26 #  

Кстати, что касается спиральных антенн, их расчет есть в каждой! книжке по антеннам (в частности по УКВ антеннам)
AlexYL2
Участник
Offline5.0
с янв 2007
Рига & Даугавпилс
Сообщений: 620

Дата: 17 Мар 2007 15:27:12 · Поправил: AlexYL2 (17 Мар 2007 15:28:04) #  

дублировалось
endo
Участник
Offline1.1
с дек 2006
Москва
Сообщений: 35

Дата: 19 Мар 2007 11:52:10 · Поправил: endo (19 Мар 2007 11:53:46) #  

Приветвую.
Есть похожая тема на звездочёте, даже обсуждаются схемы.
Смотреть здесь Радиотелескоп
KSVnn
Участник
Offline2.2
с сен 2006
Нижний Новгород
Сообщений: 291

Дата: 19 Мар 2007 15:56:20 #  

DVE
NBFM
Про транзисторы стоит посмотреть BFP740 цена около 30 руб. Три штуки в паралель и Ga-As отдыхает.
AOR
Участник
Offline5.7
с окт 2003
Сообщений: 14628

Дата: 19 Мар 2007 16:09:01 · Поправил: AOR (19 Мар 2007 16:09:35) #  

BFP740
Это хороший, малошумящий транзистор, обещают 0.5dB на 1.8ГГц. Но он германиевый, биполярный, для чего их в параллель?
KSVnn
Участник
Offline2.2
с сен 2006
Нижний Новгород
Сообщений: 291

Дата: 19 Мар 2007 16:16:16 #  

AOR
биполярный, для чего их в параллель? в корень из трех снизить шумы, в свое время проверял на 2Т3106 - получается.
dimss
Участник
Offline4.0
с сен 2004
Рига
Сообщений: 1246

Дата: 19 Мар 2007 16:40:16 #  

Интересно, можно ли регистрировать солнечное излучение на сверхнизких частотах (единицы-сотни-тысячи герц)?
AOR
Участник
Offline5.7
с окт 2003
Сообщений: 14628

Дата: 19 Мар 2007 16:46:30 #  

Я проводил такой эксперимент с полевыми транзисторами, основная цель та же, снижение шумов, но и не только. Получилось успешно. С биполярными не пробовал, надо у каждого правильно выбрать рабочую точку (ток покоя) для получения нужных характеристик. Знаете, конечно, максимум усиления и минимум шума - режимы разные, тогда даже ft разная и все остальное. Будут ли они успешно работать параллельно или придется индивидуально режим у каждого выставлять из-за разброса параметров, особенно в процессе работы? Какие методы для стабилизации темепературного режима вы применяли и насколько были отклонения у отдельных транзисторов?
KSVnn
Участник
Offline2.2
с сен 2006
Нижний Новгород
Сообщений: 291

Дата: 19 Мар 2007 17:06:24 #  

AOR
максимум усиления и минимум шума - режимы разные как большой плюс SiGe транзисторов отмечался малый разброс параметров.
Какие методы для стабилизации темепературного режима вы применяли раздельное питание по базам и резисторы 1 Ом в эмитер, коллекторы вместе на индуктивную нагрузку. Мерялась плотность шумов. Выигрыш при 2х транзисторах - 1,2 раза, при 3х - 1,6 раза, 4 - 1,8, дальше выигрыша не было.
AOR
Участник
Offline5.7
с окт 2003
Сообщений: 14628

Дата: 19 Мар 2007 17:53:21 #  

KSVnn
как большой плюс SiGe транзисторов отмечался малый разброс параметров.
Спасибо, буду иметь ввиду, т.к. пока экспериментировал лишь с полевыми транзисторами (параллельно) и MMIC.

раздельное питание по базам и резисторы 1 Ом в эмитер, коллекторы вместе на индуктивную нагрузку
Я бы сделал похоже, в принципе, стандартное решение. Напряжение смещения не стабилизировали, через резисторный делитель?

Мерялась плотность шумов. Выигрыш при 2х транзисторах - 1,2 раза, при 3х - 1,6 раза, 4 - 1,8, дальше выигрыша не было.
У меня тоже похожие результаты получались, даже с КП307Г. А чем измеряли спектральную плотность шума?
KSVnn
Участник
Offline2.2
с сен 2006
Нижний Новгород
Сообщений: 291

Дата: 20 Мар 2007 01:05:06 #  

AOR
Напряжение смещения не стабилизировали на каждую базу свой делитель с дросселем, с последним изрядно помучались, сердечники шумят, итоговый вериант подкова из диэлектрика в качестве каркаса катушки.
А чем измеряли спектральную плотность шума? Вы очень удивитесь, частотомером. Мерялась плотность шума в заданном и периодическом временном интервале, а не спектральная плотность. Выход детектора через компаратор на один вход схемы "И", на другой вход строб в заданной части периода, но размазаный по псевдослучайному закону, выход "И" на частотомер.
 Страница:  ««  1  2  3  4  »» 

Создавать сообщения могут только зарегистрированные участники форума.
Войти в форум :: » Логин » Пароль
Начало
Средства связи, рации. Купить радиостанции Motorola, Yaesu, Vertex, приемники, антенны.
Время загрузки страницы (сек.): 0.054; miniBB®